• Предмет: Алгебра
  • Автор: arsnataly
  • Вопрос задан 3 года назад

Вычислите, пожалуйста, предел. Определенно ничегошеньки не понимаю.

Приложения:

olgaua64: Функция от х не зависит??
arsnataly: я нинаю

Ответы

Ответ дал: mioks
3

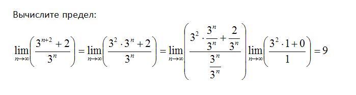
Ответ:

9

Объяснение:

на фото

Приложения:

arsnataly: Огромное спасибо! ты спас мой аттестат!
Вас заинтересует