• Предмет: Алгебра
  • Автор: Аноним
  • Вопрос задан 3 года назад

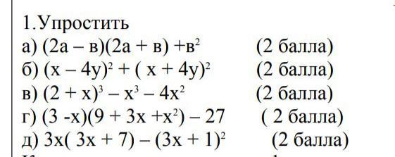
срочно надо упростить.​

Приложения:

Ответы

Ответ дал: serovaksusa1
1

Ответ:

Смотри решение на фото

Приложения:

Аноним: спасибо огромное ❤️
Ответ дал: NNNLLL54
0

(2a-b)(2a+b)+b^2=4a^2-b^2+b^2=4a^2\\\\\\(x-4y)^2+(x+4y)^2=(x^2-8xy+16y^2)+(x^2+8xy+16y^2)=\\\\=2\, (x^2+16y^2)=2x^2+32y^2\\\\\\(2+x)^3-x^3-4x^2=(8+12x+6x^2+x^3)-x^3-4x^2=8+12x+2x^2=\\\\=2\, (x^2+6x+4)\\\\\\(3-x)(9+3x+x^2)-27=(3^3-x^3)-27=-x^3\\\\\\3x(3x+7)-(3x+1)^2=9x^2+21x-(9x^2+6x+1)=15x-1

Вас заинтересует