• Предмет: Математика
  • Автор: Аноним
  • Вопрос задан 3 года назад

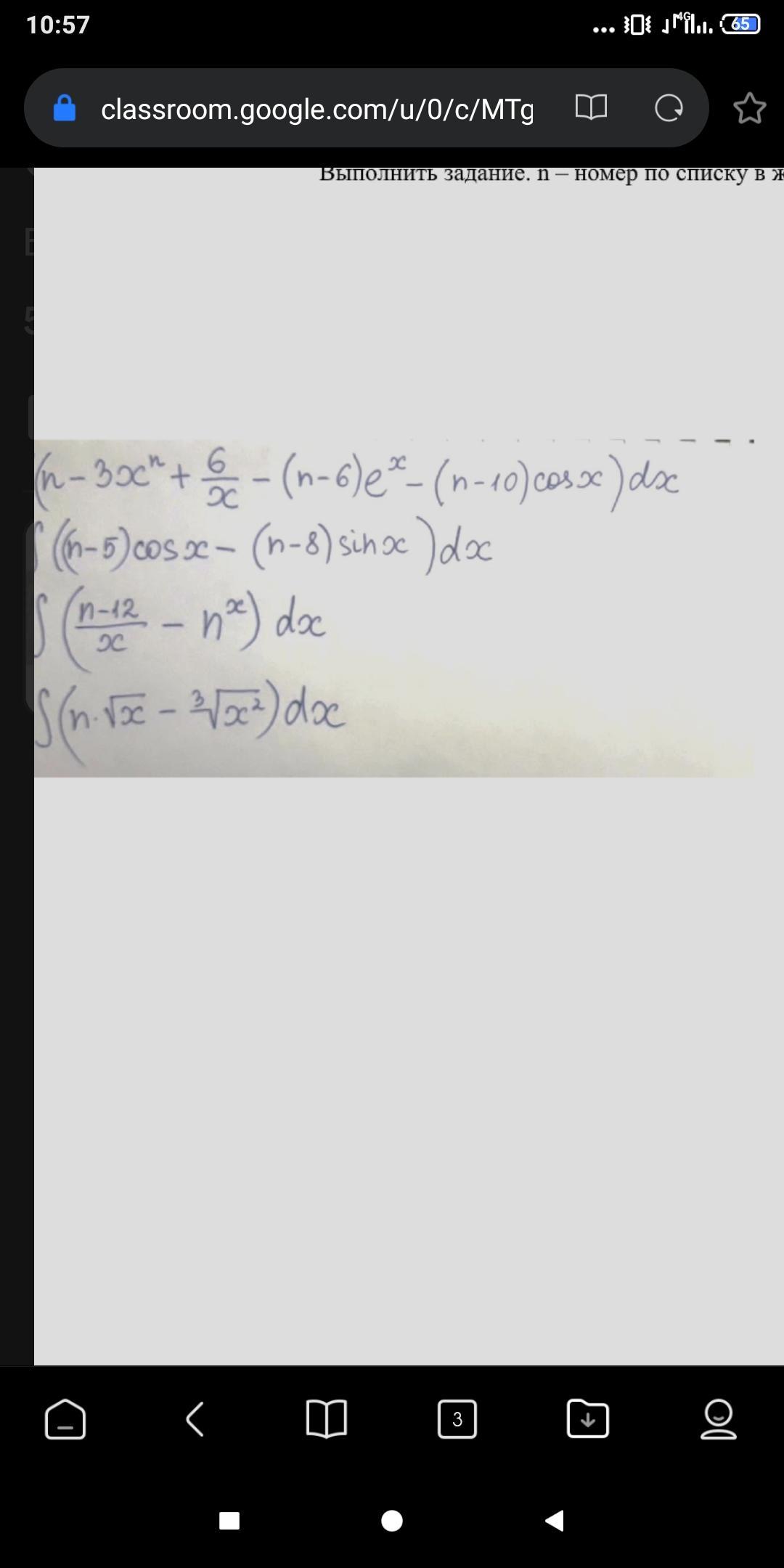
Решить примеры которые изображены на доске, полное решение и ответ, если что там ничего нет, только палочка, решите короче

Приложения:

Ответы

Ответ дал: nazarovvad96
0

Ответ:

s m e xhfhfhxjcbfjx ой нето @ 1307737

Вас заинтересует