• Предмет: Математика
  • Автор: olgapoturnak5
  • Вопрос задан 3 года назад

помогите срочно!!!!!!!!!​

Приложения:

Ответы

Ответ дал: arinchikd
0

Ответ:

Пошаговое объяснение:

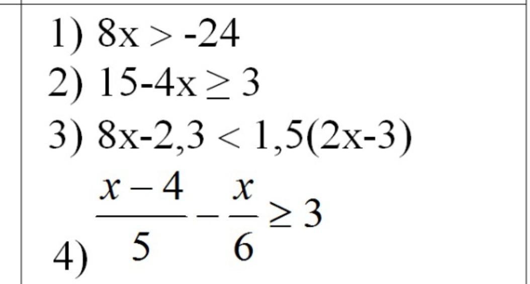
8x>-24

x>-24/8

x>-3

15-4x≥3

-4x≥3-15

-4x≥-12

x≤12/4

x≤3

8x-2.3<1.5(2x-3)

8x-2.3<3x-4.5

8x-3x<4.5+2.3

5x<6.8

x<6.8/5

x<1.36

(x-4)/(5)-(x/6)≥3

6(x-4)/(30)-(5x/30)≥90

6x-24-5x≥90

x≥90+24

x≥114

Вас заинтересует