• Предмет: Алгебра
  • Автор: abushov2011
  • Вопрос задан 10 лет назад

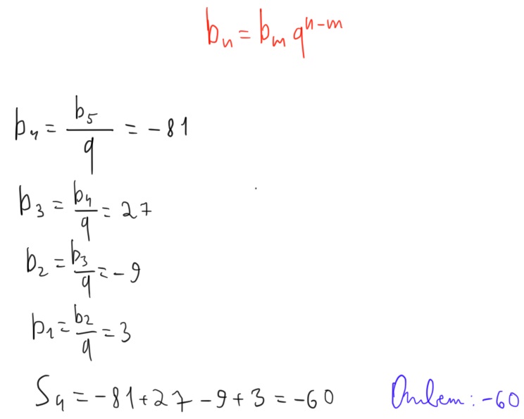
дана геометрическая прогрессия bn.Вычислите сумму 4 первых членов,если b5=243,q=-3

Ответы

Ответ дал: nikolac
0
Решение на картинке.
Приложения:
Вас заинтересует