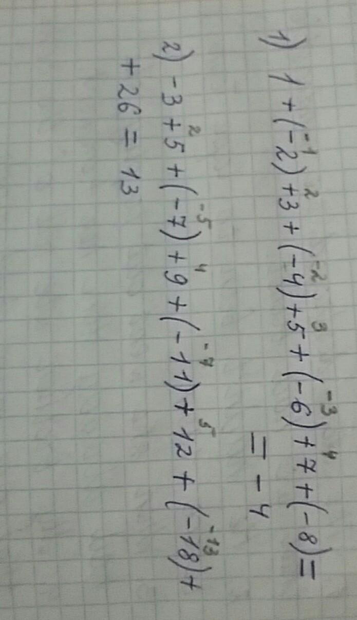
864.1) 1+(-2)+3+(-4) +5+ (-6)+7+ (-8)
2) -3+5+ (-7) +9+(-11) + 12 + (-18) + 26; памогите дам 70 балов срочнл
magomedovaz419:
говорите 70 балов а дают 5
Ответы
Ответ дал:
8
Ответ:
Решение с ответом на фотографии
Приложения:
Вас заинтересует
2 года назад
3 года назад
3 года назад
8 лет назад
8 лет назад
10 лет назад
10 лет назад