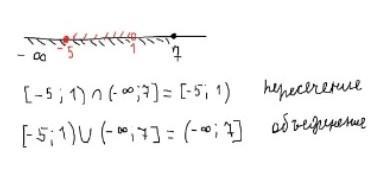
Изобразите на координатной прямой и запишите пересечение и объединение числовых промежутков: [ – 3; 3) и (−∞; 7].
Ответы
Ответ дал:
7
Пошаговое объяснение:
ответ в фото пожалуйста зделай мой ответ лучшим я всегда делаю правильно)
Приложения:

Аноним:
это правильно?
Вас заинтересует
2 года назад
2 года назад
2 года назад
2 года назад
8 лет назад
8 лет назад
9 лет назад