Срочно!!!!!!!!!!!!!!!!!!!!!!!!!!!!!!!!!!!!!!!!!!!!!!!!40B
1N.
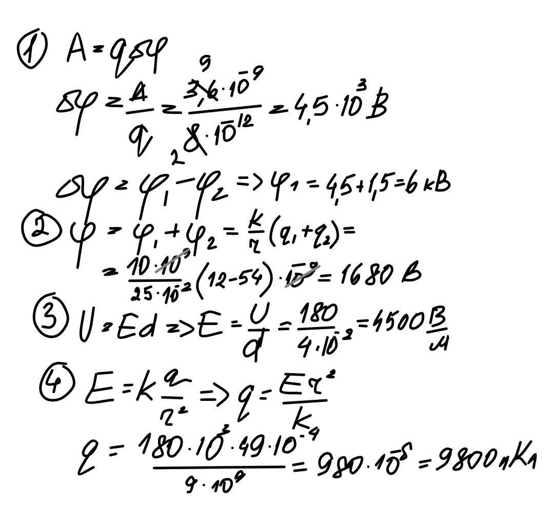
Электрическое поле передает отрицательный электрический заряд−8⋅
C из точки 1 в точку 2, выполняя работу 3,6⋅10−9 J. Потенциал в точке 2 равен 1500 V. Найдите потенциал в точке 1!
ϕ1=......V
2N.
Две маленькие бусины с электрическими зарядами 12 nC и -54nC находятся на расстоянии 50 см друг от друга. Рассчитайте потенциал электрического поля в середине между шарами!
ϕrez=......V
3N.
К двум противоположно заряженным плоскостям подключено напряжение 180 V. Рассчитайте напряженность электрического поля между пластинами, если они находятся на расстоянии 4 см друг от друга.
E=......
4N
Напряженность электрического поля в вакууме на расстоянии 7 см от точечного заряда составляет 180
.
q= .....nC
cactus951:
номер 2 нано или пико степень?
Divas mazas lodītes, kuru elektriskie lādiņi ir 12 nC un −54 nC, atrodas 50 cm attālumā viena no otras. Aprēķini, kāds ir elektriskā lauka potenciāls viduspunktā starp lodītēm!
оригинал
Введите результат с округлением до ближайшего вольта!
ну как бы ты догадываешься, что я не пойму этот язык) считаю как нано
ok
если нужно округлить, то в 3) 4,5 округляется до 5
Ответы
Ответ дал:
1
Ответ:
1) 6000 В; 2) 1680 В; 3) 4,5 кВ/м; 4) 9800 нКл
Объяснение:
полное решение прикрепляю скриншотом, спрашивай, если что-то непонятно)
Приложения:
Вас заинтересует
2 года назад
8 лет назад
8 лет назад
9 лет назад