• Предмет: Алгебра
  • Автор: UnicornIra
  • Вопрос задан 3 года назад

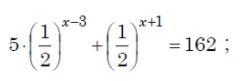
Решите, пожалуйста, уравнение

Приложения:

Ответы

Ответ дал: aziza1601
1

ответ : -2

решение на фото.

Приложения:
Ответ дал: manyny06
1

Ответ:

решение смотри на фотографии

Объяснение:

Приложения:
Вас заинтересует