• Предмет: Алгебра
  • Автор: Fuzzykjsk21
  • Вопрос задан 3 года назад

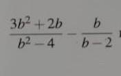
Упростить и найти решение ​

Приложения:

Ответы

Ответ дал: edelbaevadaana
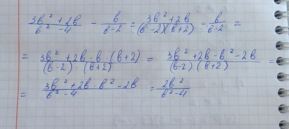
2

Ответ:

ответ на фото, вроде бы правильно

Приложения:
Ответ дал: Аноним
2

 \frac{3b {}^{2} + 2b }{(b - 2)(b + 2)}  -  \frac{b}{b - 2}

 \frac{3b {}^{2} + 2b - b(b + 2) }{(b - 2)(b + 2)}

 \frac{3b {}^{2}  + 2b - b {}^{2}  - 2b}{b {}^{2} - 4 }

 \frac{3b {}^{2}  - b {}^{2} }{b {}^{2} - 4 }  =  \frac{2b {}^{2} }{b {}^{2} - 4 }

Вас заинтересует