• Предмет: Математика
  • Автор: 20danila08marbax
  • Вопрос задан 3 года назад

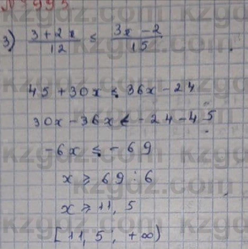
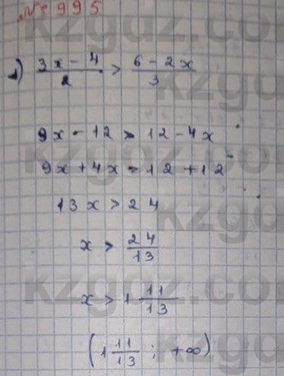
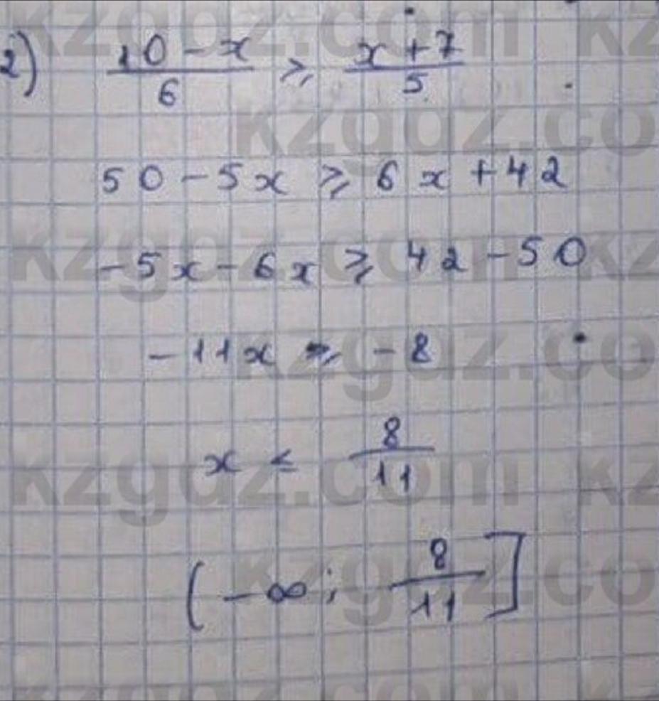
Номер 995 помогите пожалуйста! Срочно нужно! Даю 20 баллов

Приложения:

Ответы

Ответ дал: Алагуль
0

Ответ:

На фото(с готового д/з, но правильно)

Пошаговое объяснение:

Приложения:
Вас заинтересует