• Предмет: Алгебра
  • Автор: Sasha161206
  • Вопрос задан 3 года назад

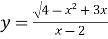
знайдіть область визначення функції

Приложения:

Ответы

Ответ дал: sangers1959
0

Объяснение:

y=\frac{\sqrt{4-x^2+3x} }{x-2} \\y^2=(\frac{\sqrt{4-x^2+3x} }{x-2})^2=\frac{(\sqrt{4-x^2+3x})^2}{(x-2)^2} =\frac{4-x^2+3}{(x-2)^2} \\x\in(-\infty;2)U(2;+\infty);\\y\in(-\infty;+\infty).

Вас заинтересует