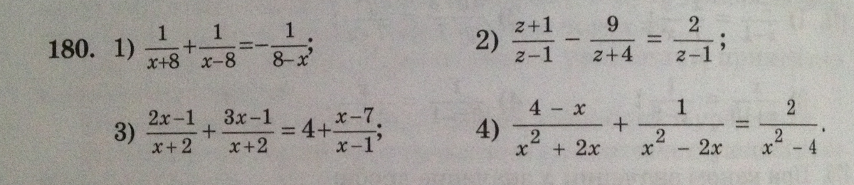
Рациональные уравнения.
Помогите с уравнениями - 8 класс. Полностью решение, ответ... Пожалуйста!
Приложения:

Ответы
Ответ дал:
0
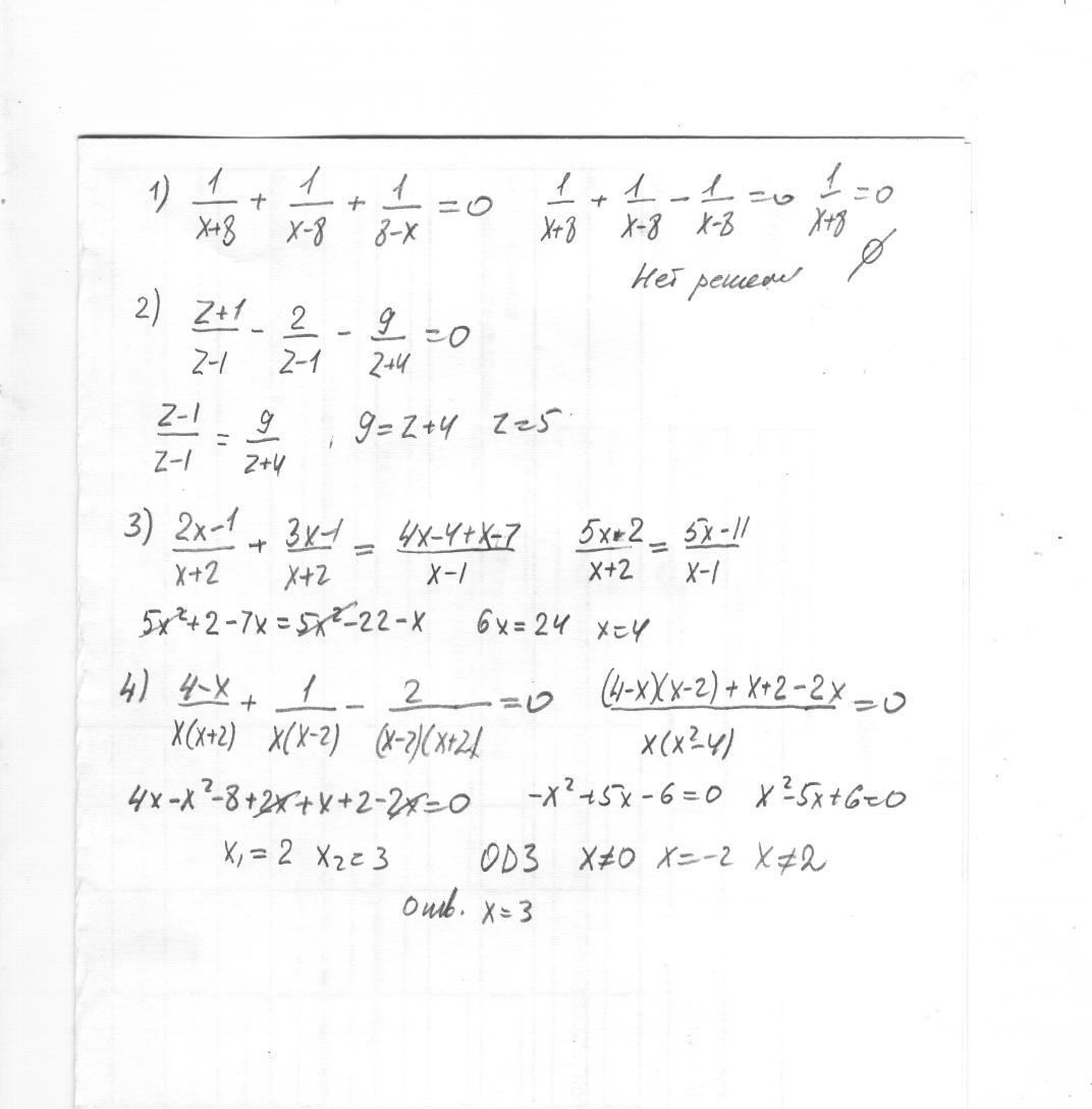
Решение :
Смотри вложение:.....
Смотри вложение:.....
Приложения:

Ответ дал:
0
////////////////////////////////////////////////////////33333215618478945652965+--*
Приложения:

Вас заинтересует
2 года назад
2 года назад
8 лет назад
8 лет назад
10 лет назад
10 лет назад