• Предмет: Алгебра
  • Автор: elenadudina
  • Вопрос задан 3 года назад

ПОЖАЛУСТА, У МЕНЕ ЕКЗАМЕН!!!!!!!!!!!!!!,ДАЮ 10 БАЛІВ
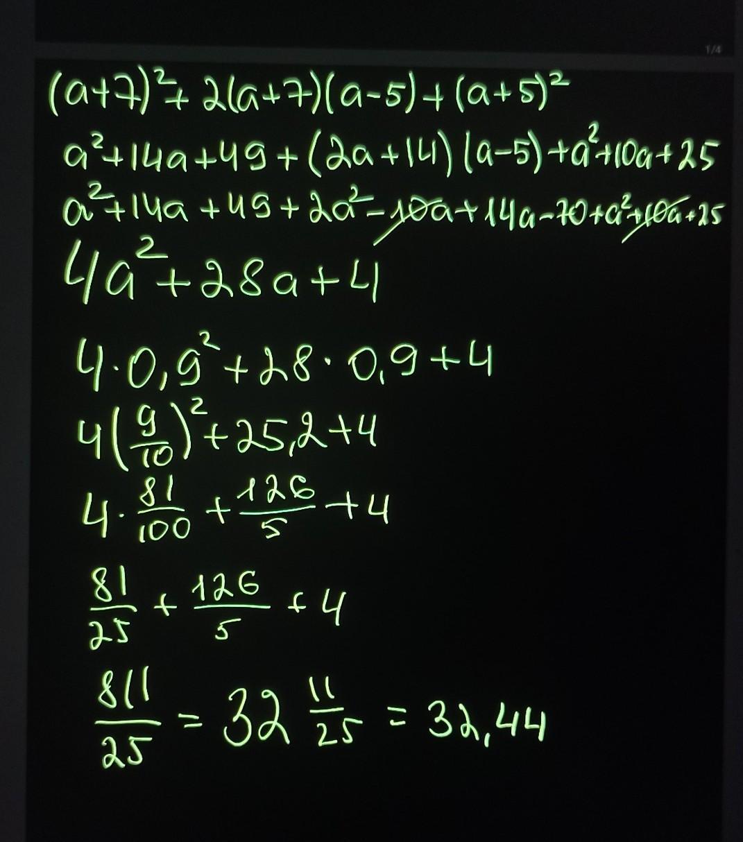
Спрости вираз (а+7)^2+2(a+7)(a-5)+(a+5)^2 і обчисли його значення, якщо а=0,9


romanukanna22: минутку
elenadudina: Ураааааааааааааааааааааааааааааааааааааа :)
elenadudina: ждуууууу

Ответы

Ответ дал: romanukanna22
0

Объяснение:

см фото

надеюсь помогла)

Приложения:

romanukanna22: а что там сокращать?
elenadudina: нуууу, тип приклад (а+7)^2+2(a+7)(a-5)+(a+5)^2 спростить
elenadudina: а потом множить
romanukanna22: то есть, сначала сделать этот пример, а потом подставлять, правильно понимаю?
romanukanna22: я могу переделать
elenadudina: да, правильно ти понял(а)
elenadudina: пожалуста переделай єсли не трудно :)
romanukanna22: сейчас сделаю
romanukanna22: готово
romanukanna22: по идее так
Вас заинтересует