1017. Из чисел -4; -0,5; 3; 6; 7; 8,7; 15 выпишите числа, которые
являются решениями системы неравенств:
Помогите
Ответы
Ответ дал:
21
Ответ:
Вот это правильно
Пошаговое объяснение:
Приложения:

Аноним:
правильно?
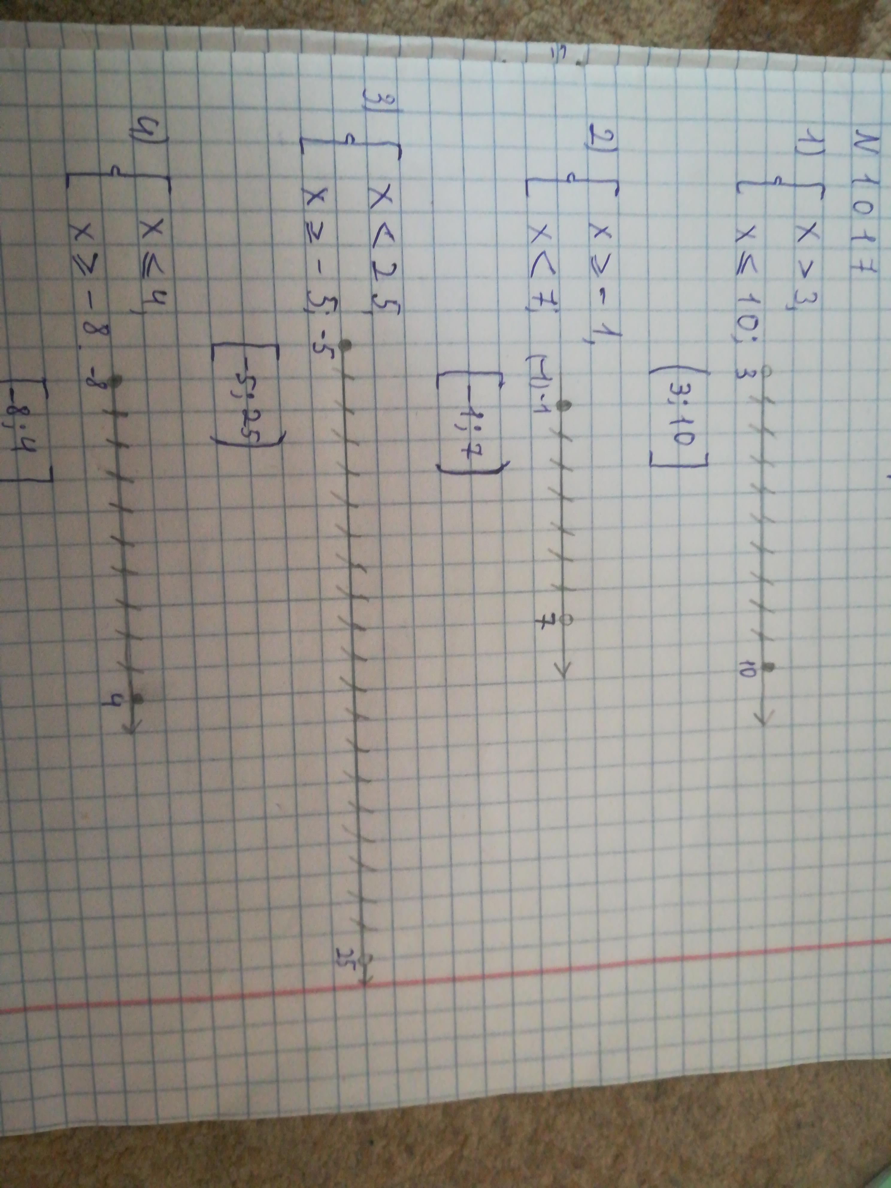
[x>3,
[x≤10;
x∈(3;10]
2)
[x≥-1,
[x<7;
x∈[-1;7)
3)
[x<25,
[x≥-5;
x∈[-5;26)
4)
[x≤4
[x≥-8
x∈[-8;4]
Вас заинтересует
2 года назад
2 года назад
8 лет назад
8 лет назад
9 лет назад
9 лет назад