
Помогите пожалуйста даю много баллов
karamovilya03:
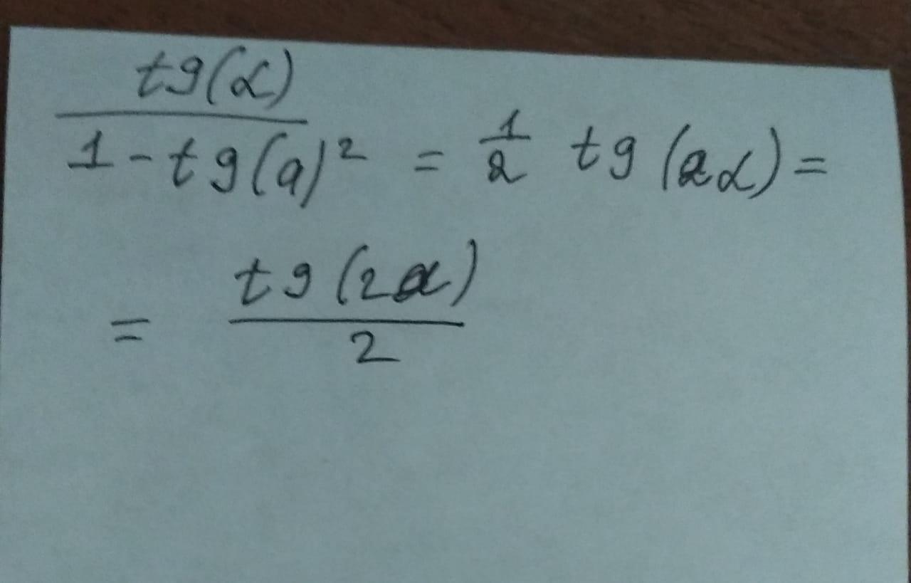
тут только упростить, тогда получится tg(2a)/2
Ответы
Ответ дал:
0
Объяснение:
ну тип лол, просто убираешь эти слова потому что они сокращаются и остаётся 1,ответ 1
Ответ дал:
1
Ответ:
решение прикреплено бла-бла-бла
Объяснение:
Приложения:

Вас заинтересует
2 года назад
2 года назад
8 лет назад
8 лет назад
9 лет назад