Ответы
Ответ дал:
4
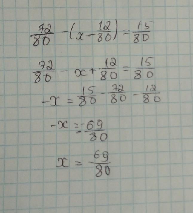
Ответ:
/////////////////////
Приложения:


aruananurkair345:
спасибо большое
Вас заинтересует
2 года назад
2 года назад
2 года назад
2 года назад
8 лет назад
8 лет назад
9 лет назад
9 лет назад