• Предмет: Математика
  • Автор: klimzernov84
  • Вопрос задан 3 года назад

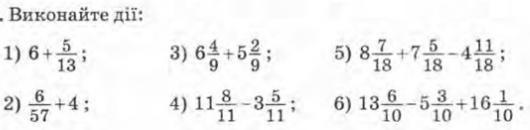
Плиз ответьте!!!!!!!!!!!!!!!!

Приложения:

Ответы

Ответ дал: tatkvp
1

Ответ:

1)6 5/13=83/13 2)4 6/57=234/57


klimzernov84: спс
Вас заинтересует