• Предмет: Математика
  • Автор: Fyrc
  • Вопрос задан 3 года назад

ПОМОГИТЕ РЕШИТЕ ПРИМЕР С ПОЯСНЕННЯМ ПЖ

Приложения:

Ответы

Ответ дал: ksyuwi
3

( 1 )

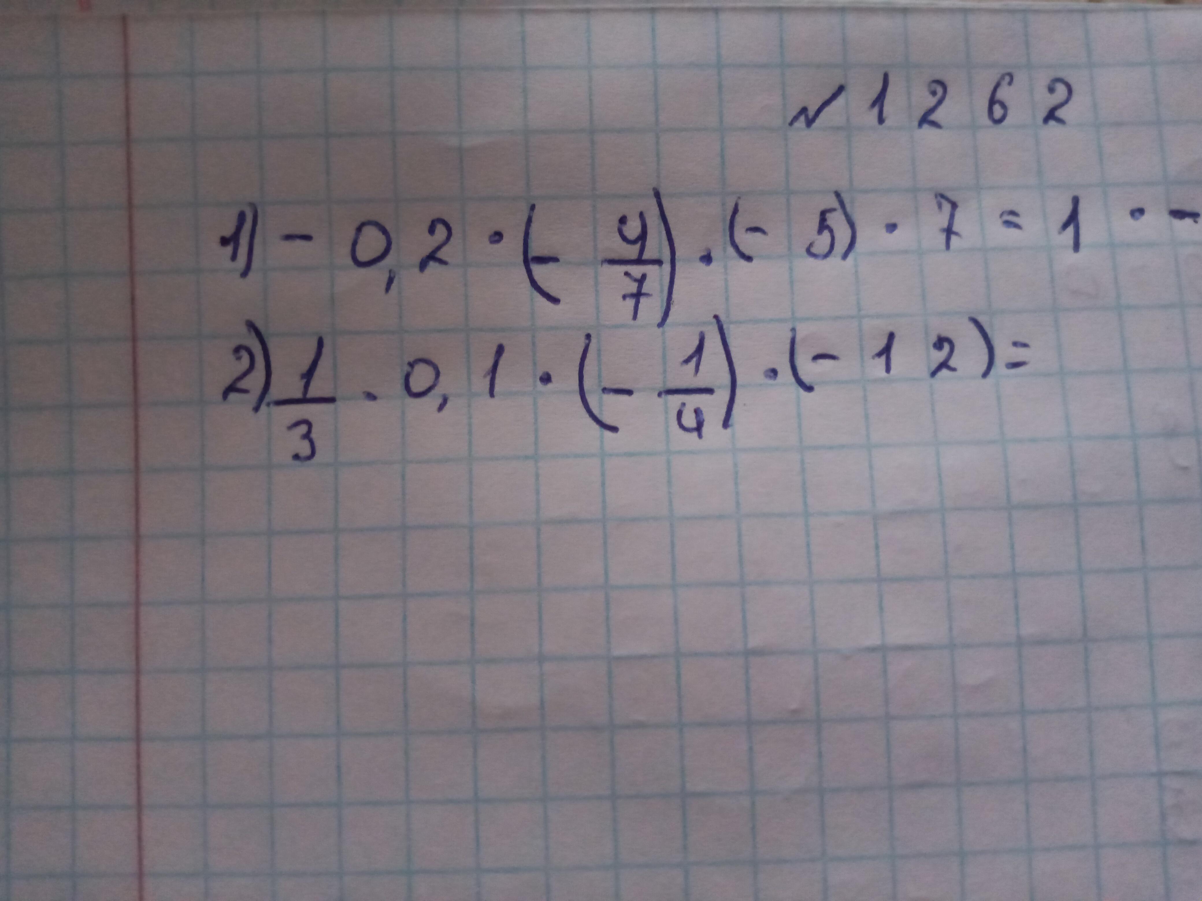
-0,2*(-\frac{4}{7})*(-5)*7 =\\\\=\frac{-0,2*(-4)}{7}*(-5)*7=\\\\=\frac{0,8}{7}*(-5)*7=\\\\=\frac{0,8*(-5)}{4} *7=\\\\= \frac{-4}{4}*7=\\\\=-1*7=-7

( 2 )

\frac{1}{3}*0,1*(-\frac{1}{4})*(-12)=\\\\=\frac{1*0,1}{3}*(-\frac{1}{4})*(-12)=\\\\ =\frac{0,1}{3}*(-\frac{1}{4})*(-12)=\\\\ =\frac{0,1*(-1)}{3*(-4)}*(-12)=\\\\ =\frac{-0,1}{-12}*(-12)=\\\\\frac{-0,1*(-12)}{-12}=\frac{-0,1}{1}=-0,1

Отрицательное число, умноженное на отрицательное число, будет число положительное.

пример  ⇒

-5 · ( -3 ) = 15

Отрицательное число, умноженное на число положительное, будет отрицательным числом.

пример  

-10 · 6 = -60


romanmendl: Классно :-)
ksyuwi: Неожиданная встреча)
Fyrc: Спасибо
Ответ дал: romanmendl
3

Ответ:

На фотографии.

Пошаговое объяснение:

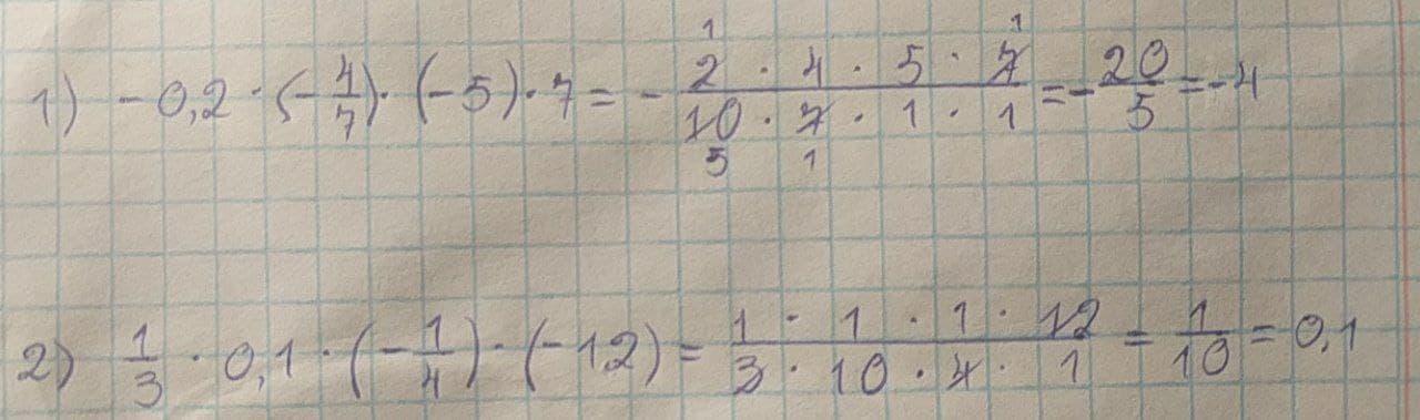
1) Первый пример.

Используется умножение, это действие одной ступени. 3 отрицательных числа, нечетное количество, ответ будет отрицательным. А 0,2=2/10.

Далее все числа просто умножаются, как дроби.

2) Второй пример. Тактика та же, что и в первом. Но тут всего 2 отрицательных числа, четное количество, значит и ответ будет четный.

Если объяснение понятное, то можете поставить лайк :-)

Приложения:

Fyrc: Спасибо
Вас заинтересует