• Предмет: Алгебра
  • Автор: vmasdosvpdsnvidadoid
  • Вопрос задан 3 года назад

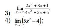
Вычислить..............

Приложения:

Ответы

Ответ дал: ildar502020
1

Ответ:  1/2.  41.

Объяснение:

3) В этом примере имеем неопределенность ∞/∞

Попробуем избавится.  Разделим числитель и знаменатель на х в старшей степени

lim(x->∞)  (2+3/x+1/x²) / (4 + 2/x+5/x²) = 2/4 = 1/2.

***

4)  lim (x->3)(5x²-4)=  lim (x->3) (5* 3²-4) = lim (x->3) (5*9 - 4)=

= lim (x->3) (45 - 4)= 41.

Вас заинтересует