• Предмет: Алгебра
  • Автор: Аноним
  • Вопрос задан 3 года назад

Докажите тождество (35.25-35.25)

Приложения:

Ответы

Ответ дал: treasury8352
4

Ответ:

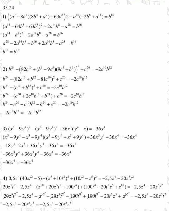
нажмите на фото и там все ответы

Приложения:

Аноним: Спасибо огромное!!!
treasury8352: незачто)
treasury8352: блин почему у того лучший ответ (
Аноним: Господи давай тебе сделаю,только как?
treasury8352: уже никак))) один должен быть лучшим)
treasury8352: все норм)
Аноним: Ну не расстраивайся,в следующий раз тебе сделаю:)
treasury8352: хорошо)
Ответ дал: Universalka
12

1)((a⁷ - 8b⁴)(8b⁴ + a⁷) + 63b⁸)² - a¹⁴(+2b⁸ + a¹⁴) =

= (a¹⁴ - 64b⁸ + 63b⁸)² - 2a¹⁴b⁸ - a²⁸ = (a¹⁴ - b⁸)² - 2a¹⁴b⁸ - a²⁸ =

= a²⁸ - 2a¹⁴b⁸ + b¹⁶ - 2a¹⁴b⁸ - a²⁸ = b¹⁶

b¹⁶ = b¹⁶

2) b²⁴ - (82c¹⁰ + (b⁶ - 9c⁵)(9c⁵ + b⁶))² + c²⁰ = b²⁴ - (82c¹⁰ + b¹² - 81c¹⁰)² + c²⁰ =

= b²⁴ - (c¹⁰ + b¹²)² + c²⁰ = b²⁴ - c²⁰ - 2c¹⁰b¹² - b²⁴ + c²⁰ = -2c¹⁰b¹²

-2c¹⁰b¹² = - 2c¹⁰b¹²

3)(x³ - 9y⁴)² - (x³ + 9y⁴)² + 36x³(y⁴ - x) = (x³ - 9y⁴ - x³ - 9y⁴)(x³ - 9y⁴ + x³ + 9y⁴)+ 36x³y⁴ - 36x⁴ = - 18y⁴ * 2x³ + 36x³y⁴ - 36x⁴ = - 36x³y + 36x³y⁴ - 36x⁴ =

= - 36x⁴

- 36x⁴ = - 36x⁴

4) 0,5z⁴(40zt² - 5) - (z⁵ + 10t²)² + (10t² - z⁵)² =

= 20z⁵t² - 2,5z⁴ - z¹⁰ - 20z⁵t² - 100t⁴ + 100t⁴ - 20z⁵t² + z¹⁰ = -2,5z⁴ - 20z⁵t²

- 2,5z⁴ - 20z⁵t² = - 2,5z⁴ - 20z⁵t²


Аноним: Огрооомное спасибо!!!
Вас заинтересует