• Предмет: Математика
  • Автор: undertaker5
  • Вопрос задан 3 года назад

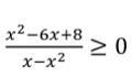
Помогите решить неравенство, подробно со всеми действиями.

Приложения:

Ответы

Ответ дал: sbrianski
1

Ответ:

x∈(0;1)∪[2;4]

Пошаговое объяснение:

Приложения:
Вас заинтересует