Срочно пж даю 10 баллов за пример только должен быть типо так как на фото
3) |1 - 2x > 7.
Приложения:

Ответы
Ответ дал:
2
Ответ:
надеюсь помооог )))))**
Приложения:

Аноним:
пасиба бро
Ответ дал:
1
Ответ:
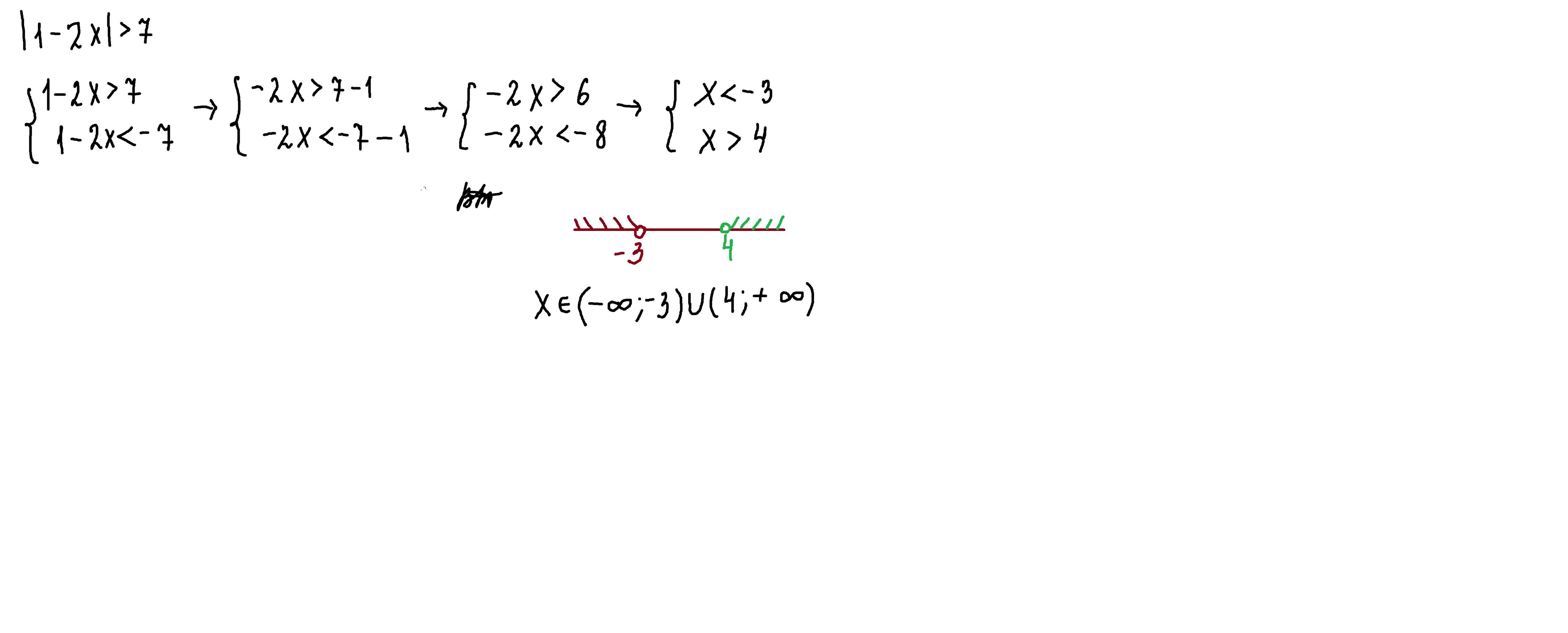
х∈(-∞:-3)∪(4;+∞)
Пошаговое объяснение:
решение внизу
Приложения:

Вас заинтересует
2 года назад
2 года назад
2 года назад
8 лет назад