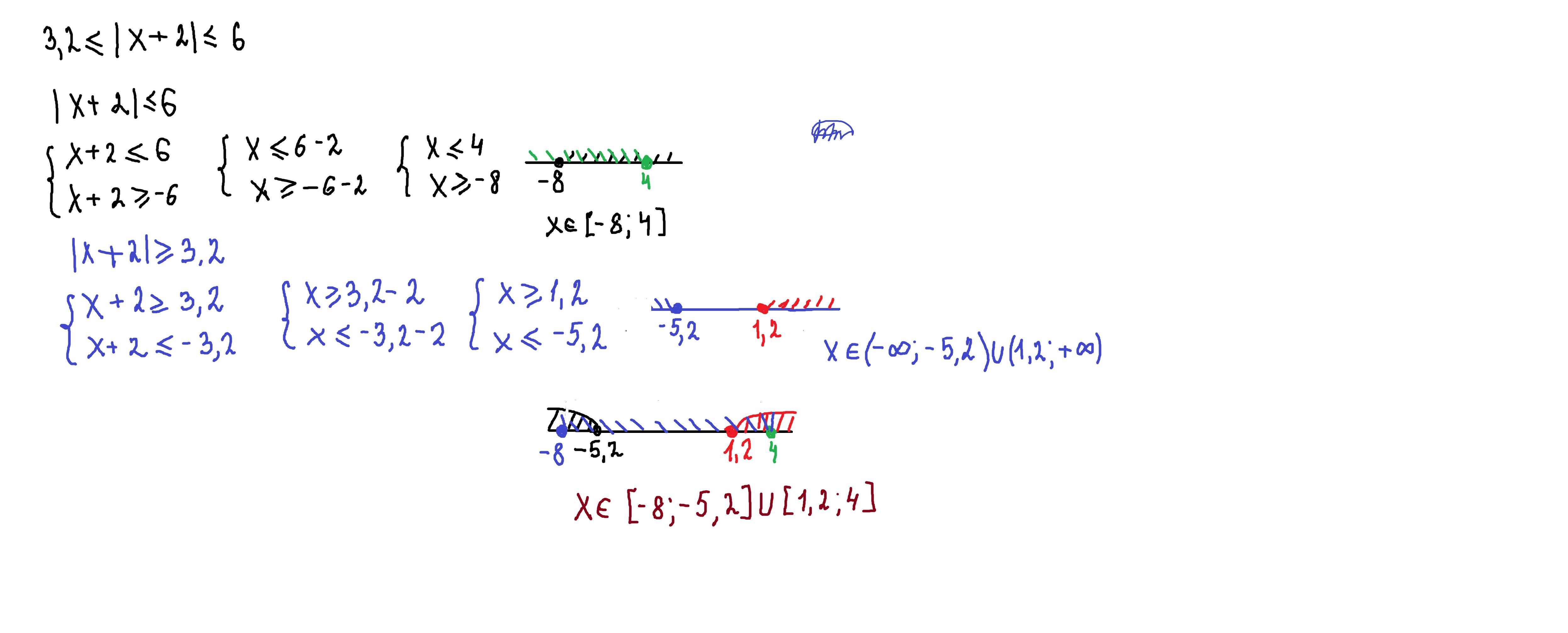
решить двойные неравенства и записать множество целых чисел которые являються их решениями
Приложения:

Ответы
Ответ дал:
1
Ответ:
Пошаговое объяснение:
РЕШЕНИЕ ВНИЗУ
ответ-промежуток где две штриховки одновременно(пересечение решений двух систем неравенств)
Приложения:

Вас заинтересует
2 года назад
2 года назад
2 года назад
8 лет назад