• Предмет: Математика
  • Автор: bronickitatyana
  • Вопрос задан 3 года назад

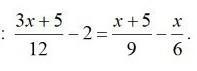
решите уравнение срочнооооо пожалуйста​

Приложения:

Ответы

Ответ дал: jekadva
1

Ответ:

Пошаговое объяснение:

3*(3x + 5) - 2*36 = 4*(x + 5) - 6x

9x + 15 - 72 = 4x + 20 - 6x

9x - 57 = -2x + 20

9x + 2x = 20+57

11x = 77

x = 77:11

x = 7


bronickitatyana: это правильно?
bronickitatyana: ??
jekadva: правильно
Вас заинтересует