• Предмет: Алгебра
  • Автор: Аноним
  • Вопрос задан 10 лет назад

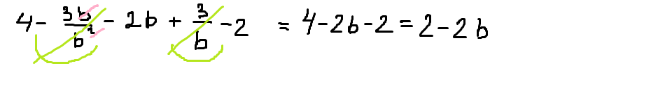
упростите выражение
4-3b/b^2-2b +3/b-2

Ответы

Ответ дал: esmilya
0
решение в прикрепленом файле
Приложения:
Вас заинтересует