• Предмет: Математика
  • Автор: safarbek2008
  • Вопрос задан 3 года назад

974. Отметьте на прямой числа 0; 1; -3; -5; 8; -7; -2; -10 и 3. Сравните: а) 0 и 3; б) 0 и -5; в) 8 и 0; г) -7 и 0; д; -2 и 3; е) -7 и 1; ж) 1 и -10; з) 3 и -3; и) 1 и 8; к) -5 и -3; л) -5 и -10; м) -2 и -5.
976. Поставьте вместо знак или знак > так, чтобы получилось вер-

ное неравенство:

a) 8,9 9,2;

r) -5,5 * -7,2;

ж) -

6) -240 3,2;

b) 4,5 -800;

д) -96,9 * -90,8;

e) -1000 * 0;


997. Расположите числа 2,8; 0,5; 0; -1; -1,1; 0,1 и -1,6:

a) в порядке возрастания; б) в порядке убывания.

5) Сложение чисел с помощью координатной прямой:

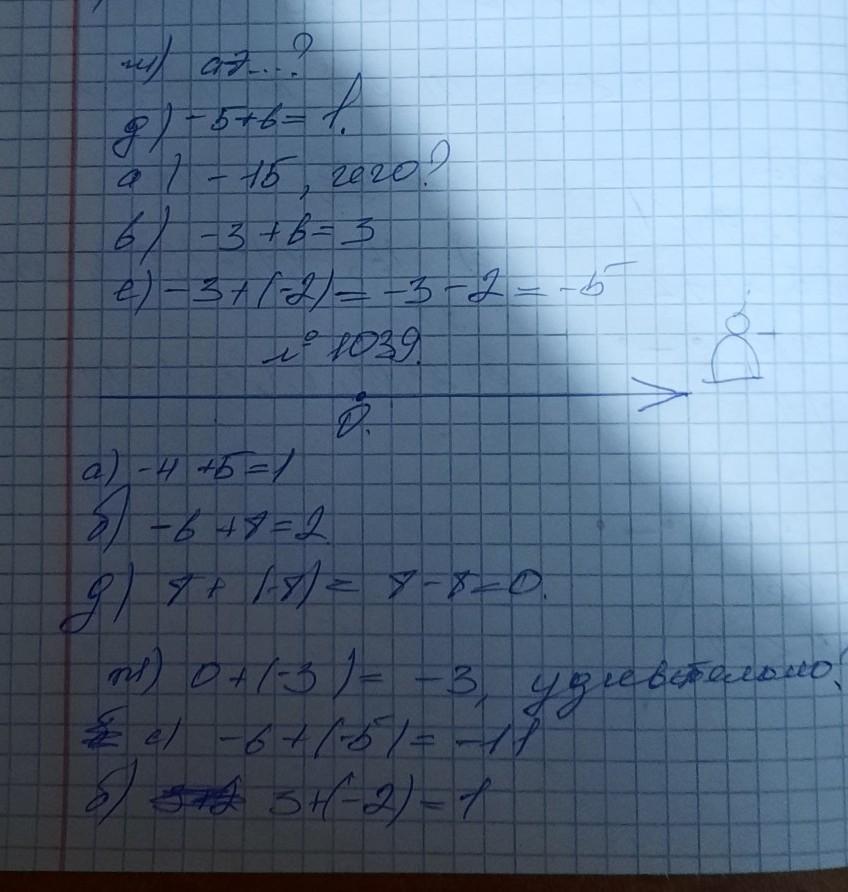
1020. Найдите с помощью координатной прямой сумму чисел:

a) -1 и 2;

г) 1 и -5; 5;

ж)

б) 3 и -4;

д) -5 и 6;

a) -15

b) -3 и 6;

e) -3 и -2;

1039. Найдите с помощью координатной пря-

мой сумму чисел:

a) -4 и 5; б) 3 и -2;

b) -6 и 8;

г) -7 и 0; д) 8 и -8;

c) -6 и -5;

ж) 0 и -3;

3) -1 и -8.

Ответы

Ответ дал: MatemaU9
0

......................

всё есть,пролистай вправо и всё будет

Приложения:
Вас заинтересует