• Предмет: Алгебра
  • Автор: 30608r
  • Вопрос задан 3 года назад

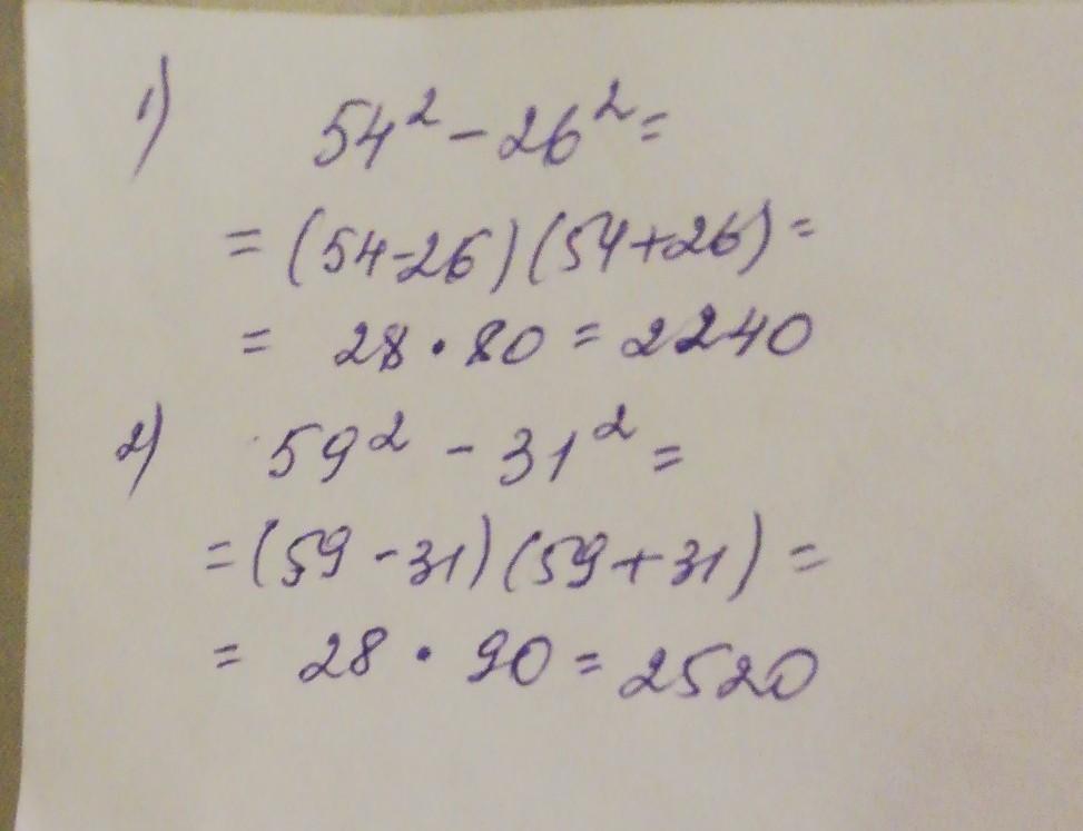
Задание 2. Вычислите используя формулы сокращенного умножения
54^2-26^2
59^2-31^2​

Ответы

Ответ дал: serovaksusa1
0

Ответ:

Смотри решение на фото

Приложения:

30608r: задание на оем аке, есть ешо 3
30608r: если зделаеш щадам изичное задание за много баллов, ты заслуживвеш их)
30608r: задам*
30608r: ожнш пж ешо омоч
30608r: пооч*
30608r: помоч*
serovaksusa1: задача?
30608r: да с 5
serovaksusa1: не могу, уроки начались
30608r: хоршо, тогда я сам попробую
Вас заинтересует