Ответы
Ответ дал:
2
Ответ:
Объяснение:
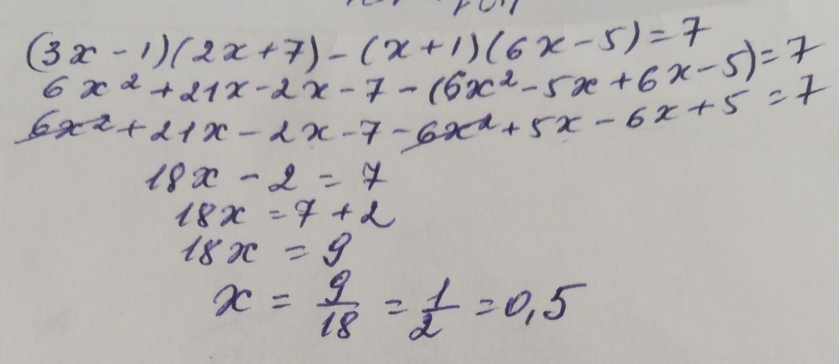
6х^2+21х-2х-7-6х^2+5х-6х+5=7
21х-2х+5х-6х=7-5+7
18х=9
Х=9:18
Х=0,5
dshow435:
Спасибо)
Ответ дал:
1
Ответ:
Смотри решение на фото
Приложения:

Вас заинтересует
2 года назад
2 года назад
2 года назад
8 лет назад
8 лет назад
9 лет назад