• Предмет: Алгебра
  • Автор: mashaperchik403
  • Вопрос задан 3 года назад

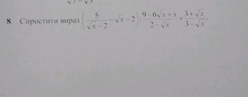
Можете допомогти у виконанні цього завдання?!​

Приложения:

Ответы

Ответ дал: yana8937135
1

якось так.............

Приложения:

mashaperchik403: Дякую
Вас заинтересует