• Предмет: Математика
  • Автор: kyrluk0
  • Вопрос задан 3 года назад

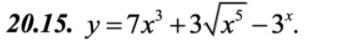
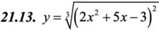
Знайти похідну функції.(Найти производную функции)

Приложения:

Ответы

Ответ дал: Iutcahcihhia
1

20.15) 21х^2+7,5√(х^3)-3^хln3

22.1)(3^хln3)ln(4x-3)+4*3^x/(4x-3)

3) ((2/3)*(4х+5))/куб корень(2х^2+5х-3)


kyrluk0: Спасибо огромное, а третий пример никак)?
Iutcahcihhia: а где он?
Iutcahcihhia: а вижу
Iutcahcihhia: отредачил
kyrluk0: Спасибо)
Вас заинтересует