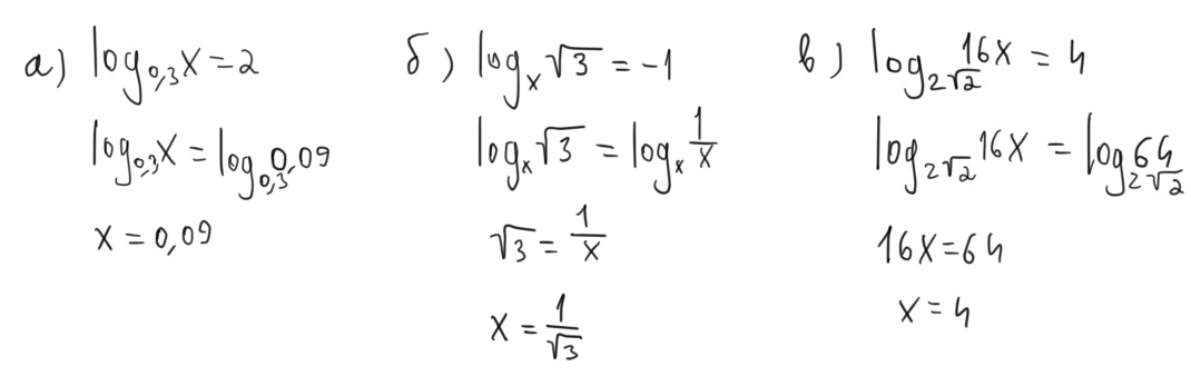
Решите уравнения:
а) log0,3х = 2 0,3 - основание, х - показатель
б) logx корень из 3 = -1 х - основание, корень из 3 - показатель
в) log2 корня из 2 16х = 4 2 корня из 2 - основание, 16х - показатель
Ответы
Ответ дал:
0
Решение на картинке.
Приложения:

Ответ дал:
0
решение смотри во вложенииииииииииии
Приложения:

Вас заинтересует
2 года назад
8 лет назад
8 лет назад
10 лет назад
10 лет назад
10 лет назад