• Предмет: Алгебра
  • Автор: Аноним
  • Вопрос задан 3 года назад

ПОМОГИТЕ С АЛГЕБРОЙ!!!

Приложения:

Ответы

Ответ дал: ulianna54
2

Ответ:

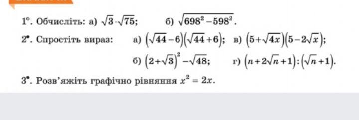
1. a) 15

б) 360

2. a) 8

б) 7

в) 25-4х

г) √n +1

Ответ дал: Dimasik106
2

1.° a) \sqrt{3}*\sqrt{75}=\sqrt{75*3}=\sqrt{225}=15

б) \sqrt{698^2-598^2}=\sqrt{(698-598)(698+598)}=\sqrt{100*1296}=10*36=360

2°. a) (\sqrt{44}-6)(\sqrt{44}+6)=(\sqrt{44})^2-36=44-36=8

б) (2+\sqrt{3})^2-\sqrt{48}=4+2\sqrt{3}+3-\sqrt{48}=7

в) (5+\sqrt{4x})(5-2\sqrt{x})= (5+2\sqrt{x})(5-2\sqrt{x})=5^2-(2\sqrt{x})^2=25-4x

г) (n+2\sqrt{n}+1):(\sqrt{n}+1)=\frac{(\sqrt{n}+1)^2 }{\sqrt{n} +1}=\sqrt{n} +1

3. Решить графически уравнения

Точки пересечения и будут решения: (0;0) и (2;4)

Приложения:
Вас заинтересует