• Предмет: Физика
  • Автор: Аноним
  • Вопрос задан 3 года назад

срочно нужно пжжжжжж, физика​

Приложения:

Ответы

Ответ дал: kuanyshev187
2

Ответ:

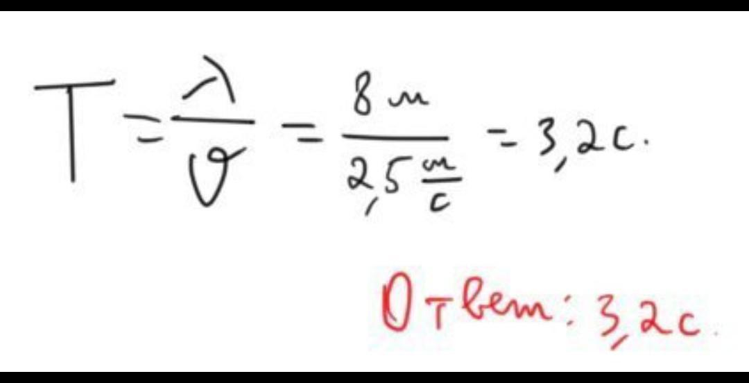
ответ будет 3.2с 8м/2.5м.с= 3.2с

Приложения:
Вас заинтересует