• Предмет: Математика
  • Автор: Ggvp228hurmannndn
  • Вопрос задан 3 года назад

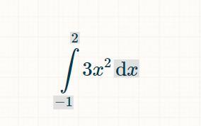
Вычислить интергал..

Приложения:

Ответы

Ответ дал: magicsk1l
0

скачай фотомач там будет ответ

Вас заинтересует