• Предмет: Алгебра
  • Автор: Аноним
  • Вопрос задан 3 года назад

Помогите решить, алгебра 10 класс
Очень срочно

Приложения:

Ответы

Ответ дал: Miroslava227
1

3.

 \frac{3 \sin( \frac{\pi}{2}  -  \alpha ) - 2 \cos(\pi  - \alpha )  }{2 \sin(\pi  + \alpha )  - 3 \cos( \frac{3\pi}{2}  - \alpha  ) }  =  \\  =  \frac{3 \cos( \alpha )  + 2 \cos( \alpha )  }{  - 2\sin( \alpha ) + 3  \sin( \alpha ) }  =  \frac{5 \cos( \alpha ) }{ \sin( \alpha ) }  = 5\ctg \alpha \\  \\  \tg \alpha  =  \frac{1}{\ctg \alpha }  = 5 \\ \ctg \alpha  =  \frac{1}{5}  \\  \\ 5\ctg \alpha  = 5 \times  \frac{1}{5}  = 1

4.

 \sqrt{ \frac{1 -  \cos( \alpha ) }{1 + \cos( \alpha )  } }  +  \sqrt{ \frac{1 +  \cos( \alpha ) }{1 - \cos( \alpha )  } }  =  \\  =  \frac{ \sqrt{1 - \cos( \alpha )  } }{ \sqrt{1 + \cos( \alpha )  } }  +  \frac{ \sqrt{1  +  \cos( \alpha )  } }{ \sqrt{1  -  \cos( \alpha )  } }  =  \\  =  \frac{ {( \sqrt{1 - \cos( \alpha )  } )}^{2} +  {( \sqrt{1 + \cos( \alpha )  } )}^{2}  }{ \sqrt{1 - \cos( \alpha )  } \times  \sqrt{1 +  \cos( \alpha ) }  }  =  \\  =  \frac{1 -  \cos( \alpha )  + 1 +  \cos( \alpha ) }{ \sqrt{1 -  \cos {}^{2} ( \alpha ) } }  =  \frac{2}{ \sqrt{ \sin {}^{2} ( \alpha ) } }  =  \\  =  \frac{2}{ | \sin( \alpha ) | }  \\  \\  \sin( \alpha )  =  -  \frac{2}{5}  \\  \\  \frac{2}{ | \sin( \alpha ) | }  =  \frac{2}{ \frac{2}{5} }  = 2 \times  \frac{5}{2}  = 5

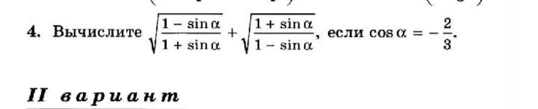
5.

 \sqrt{ \frac{1 - \sin( \alpha )  }{1 + \sin( \alpha )  } }  +  \sqrt{ \frac{1 + \sin( \alpha )  }{1 -  \sin( \alpha ) } }  \\

аналогично предыдущему заданию

 \frac{ {( \sqrt{1 - \sin( \alpha )  } )}^{2} +  {( \sqrt{1 +  \sin( \alpha ) } )}^{2}  }{ \sqrt{(1 - \sin( \alpha )  )(1 +  \sin( \alpha ) } }  =  \\  =  \frac{1 -   \sin( \alpha )  + 1 + \sin( \alpha )  }{ \sqrt{ \cos {}^{2} ( \alpha ) } }  =  \frac{2}{ | \cos( \alpha ) | }  \\  \cos( \alpha )  =  -  \frac{2}{3}  \\  \\  \frac{2}{ | \cos( \alpha ) | }  =  \frac{2}{ \frac{2}{3} }  = 3

Вас заинтересует