Помогите пожалуйста. СРОЧНО. ОЧЕНЬ ПРОШУ. ПОЖАЛУЙСТА . ЗАРАНЕЕ СПАСИБО. Нужно найти производные функций
Приложения:

Ответы
Ответ дал:
1
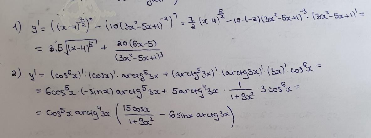
Ответ:
решение на фотографии.
Приложения:

anonimnyja142:
огромно спасибо
Вас заинтересует
2 года назад
2 года назад
8 лет назад
8 лет назад
9 лет назад
9 лет назад