• Предмет: Алгебра
  • Автор: anastasiaviltseva
  • Вопрос задан 3 года назад

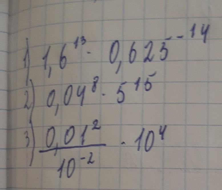
помогите пожалуйста разобраться с этими примерами​

Приложения:

Ответы

Ответ дал: oqilovmehrob
3

Ответ:

1)

 {1.6}^{13}  \times  {0.625}^{  14}  = \\   {(16 \times  {10}^{ - 1} )}^{13}  \times  {( \frac{1}{16} )}^{  13}  =  \\  \frac{ {16}^{13} }{ {10}^{13} }  \times  \frac{1}{{16}^{13} } = \frac{1}{ {10}^{13} }

2)

 {0.04}^{8}  \times  {5}^{15}  =  {(4 \times  {10}^{ - 2}) }^{8}  \times  {5}^{15}  =  \\  \frac{ {2}^{16} }{ {2}^{16} \times  {5}^{16}  }  \times  {5}^{15}  =  \frac{1}{5}

3)

 \frac{ {0.01}^{2} }{ {10}^{ - 2} }  \times  {10}^{4}  =  \frac{ {10}^{ - 4} }{ {10}^{ - 2} }  \times  {10}^{4}  =  \\  {10}^{ - 4 + 4 - ( - 2)}  =  {10}^{2}  = 100


anastasiaviltseva: благодарю!!!!
anastasiaviltseva: в первом примере степень не отрицательная,я переписала не так,перерешайте пожалуйста,заранее благодарю и извиняюсь за свою невнимательность!
oqilovmehrob: 1/10^13
Вас заинтересует