• Предмет: Математика
  • Автор: vlad7622
  • Вопрос задан 10 лет назад

решите уравнение пожалуйста

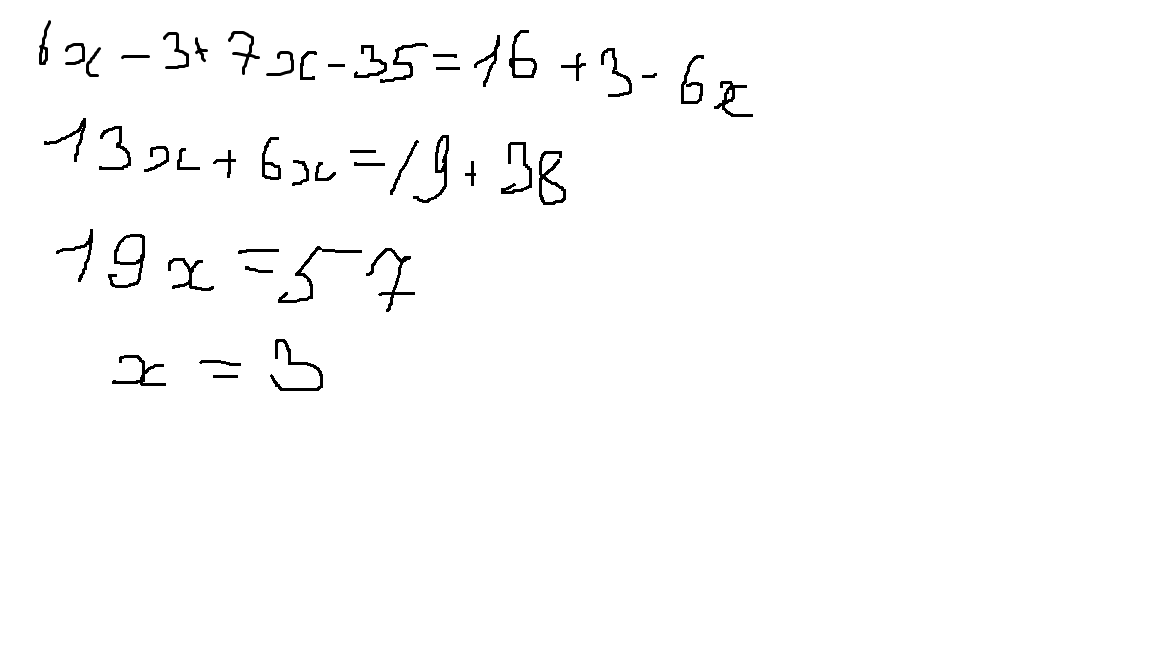
3(2x-1)+7(x-5)=16+3(1-2x)

Ответы

Ответ дал: Ekaterina1819
0
Получится вот так :)
Приложения:
Ответ дал: DyxLess007
0
не правильно!!!
Вас заинтересует