• Предмет: Алгебра
  • Автор: Aaarnur228
  • Вопрос задан 3 года назад

Решите дам 30 баллов

Приложения:

Ответы

Ответ дал: 3653840p8e9qs
0

Ответ:

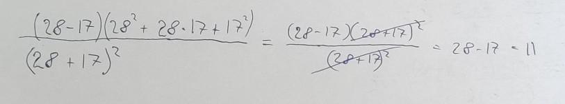
ответом данного выражения является число 11

Объяснение:

объяснение на фото

Приложения:
Вас заинтересует