• Предмет: Информатика
  • Автор: Динка2004
  • Вопрос задан 3 года назад

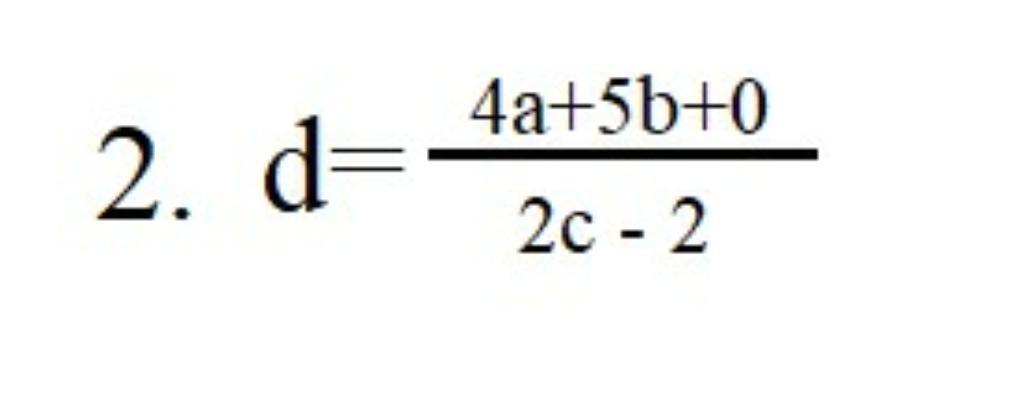
Помогите пожалуйста написать код на языке питона к этому заданию.

Приложения:

restIess: только само выражение, или программу именно?
Динка2004: Программу именно. Через import math... и так далее
restIess: Тут библиотека math не нужна

Ответы

Ответ дал: restIess
1

a = float(input("a="))

b = float(input("b="))

c = float(input("c="))

d = (4*a+5*b+0)/(2*c-2)

print(d)


Динка2004: Спасибо вам большое! Надеюсь теперь от меня отлипнут в этим заданием :)))) здоровья вам!
yulyaivanchenko65: Добрый день,не молбы вы мне помочь есть не трудно вам
yulyaivanchenko65: https://znanija.com/task/43413265
yulyaivanchenko65: я буду очень вам благадарна
yulyaivanchenko65: пж
yulyaivanchenko65: Добрый день,не могли бы вы мне помочь есть не трудно вам конечно,https://znanija.com/task/43413265,я буду очень вам благодарна,с меня 5 звёзд и лучший ответ!!!!!!!!!!!!!!!!!!!!!!!!!!!!!!!!!
Вас заинтересует