• Предмет: Алгебра
  • Автор: honestbee
  • Вопрос задан 3 года назад

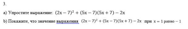
Условие для решения формула а-b^2,далее как нам объяснили свернуть формулу,привести подобные.
Ответ должен получиться: х= -1

Пожалуйста решите,объясните все по шагам.
Спасибо!

Приложения:

Ответы

Ответ дал: bb573878
0

Ответ:

Объяснение:

воспользуемся формулами

a^2-b^2=(a-b)(a+b)

(a+b)^2=a^2+2ab+b^2

(2x-7)^2+(5x-7)(5x+7)-2x=\\\\=(2x)^2-2\cdot2x\cdot7+7^2+(5x)^2-7^2-2x=\\\\=4x^2-28x+49+25x^2-49-2x=29x^2-30x\\\\esli\ x=1\\\\29\cdot1^2-30\cdot1=29-30=-1

Вас заинтересует