Ответы
Ответ дал:
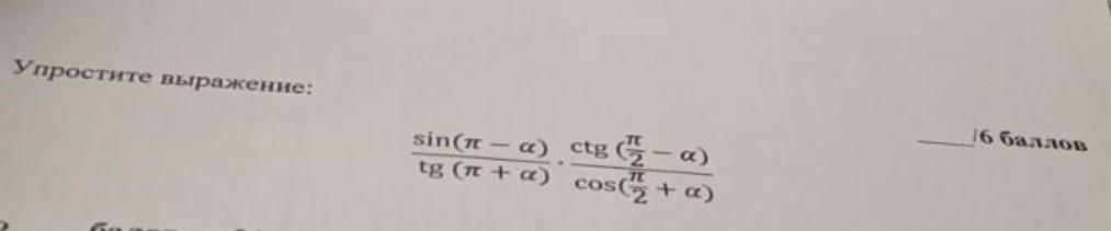
0
---------------------------
Приложения:

milanatumgoeva9:
это точно же ?
Вас заинтересует
2 года назад
2 года назад
2 года назад
8 лет назад