• Предмет: Математика
  • Автор: ArtemKabak
  • Вопрос задан 3 года назад

срочно,только задания на фото​

Приложения:

Ответы

Ответ дал: Аноним
2

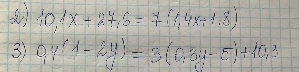
10,1х + 27,6 = 7 * (1,4х + 1,8)

10,1х + 27,6 = 9,8х + 12,6

10,1х - 9,8х = 12,6 - 27,6

0,3х = - 15

х = - 50

0,4 * (1 - 2у) = 3 * (0,3у - 5) + 10,3

0,4 - 0,8у = 0,9у - 15 + 10,3

0,4 - 0,8у = 0,9у - 4,7

- 0,8у - 0,9у = - 4,7 - 0,4

- 1,7у = - 5,1

у = 3

Ответ дал: tatanapotapova014
1

Ответ:

2) 10.1х+27.6=7(1.4х+1.8)

10.1х+27.6=9.8х+12.6

10.1х-9.8х=12.6-27.6

0.3х=-15

Х=-15:0.3

Х=-50

3) 0.4(1-2у)=3(0.3у-5)+10.3

0.4-0.8у=0.9у-15+10.3

-0.8у-0.9у=-15+10.3-0.4

-1.7у=-5.1

У=-5.1:(-1.7)

У=5.1:1.7

У=3

Вас заинтересует