• Предмет: Математика
  • Автор: romaromanovic311
  • Вопрос задан 3 года назад

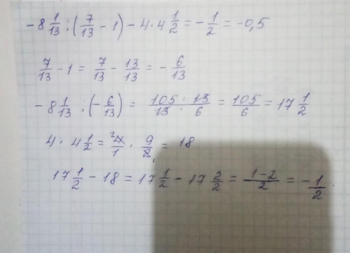
вычисли 8 1/13:(7/13-1)-4*4 1/2 первое действие (знак минус запиши в числитель)
второе действия
третье действие
ответ
умоляю скажите пж дам 20 баллов

Ответы

Ответ дал: JUMAYSYNBA
5

Пошаговое объяснение:

Надеюсь я правильно поставил знак.

Приложения:
Вас заинтересует