• Предмет: Геометрия
  • Автор: zelihovskad
  • Вопрос задан 3 года назад

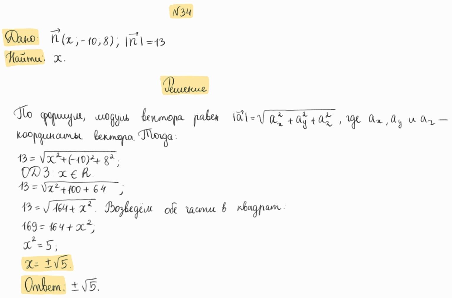
Виконати 30,34 завдання

Приложения:

Ответы

Ответ дал: Kierra
5

~~~~~~~~~~~~~~~~~~~~

Приложения:

zelihovskad: Спасибо))
Kierra: Не за что)
zelihovskad: Можно вопрос почему в 30 номере там де решение АВ ,а не АК
zelihovskad: И в ответе записывать АВ или АК
Kierra: Я записала формулу
zelihovskad: в ответе записывать АВ или АК
Kierra: В ответе писать так, как у меня
Вас заинтересует