• Предмет: Алгебра
  • Автор: ioeion268
  • Вопрос задан 3 года назад

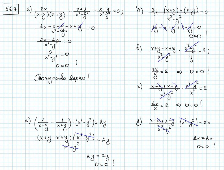
напишите на листок дам балы номер 567​

Приложения:

Ответы

Ответ дал: AiMus
1

Ответ:

Мало баллов. Решение на картинке.

Объяснение:

Приложения:
Вас заинтересует