• Предмет: Алгебра
  • Автор: DarkSoul2006
  • Вопрос задан 3 года назад

Как это решить? Очень срочно

Приложения:

Ответы

Ответ дал: bokachi38
1

Объяснение:

выражаем x, решаем всё

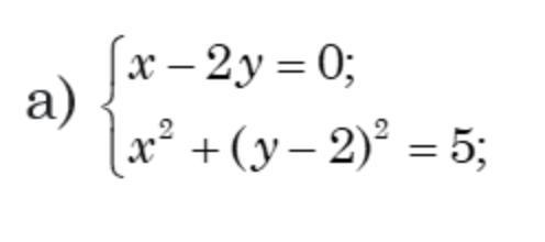
x - 2y = 0 \\ {x}^{2}  + ( {y - 2)}^{2}  = 5 \\  \\ x = 2y \\ 4 {y}^{2}  +  {y}^{2}  - 4y + 4 = 5 \\  \\ x = 2y \\ 5 {y}^{2}  - 4y - 1 = 0

ищем дискриминант и корени квадратного уравнения

d = 16 - 4 \times  5 \times ( - 1) = 16 + 20 = 36 \\  \sqrt{d}  = 6 \\ y1 =  \frac{4 + 6}{2 \times 5}  = 1 \\ y2 =  \frac{4 - 6}{2 \times 5}  =  -  \frac{1}{5}

подставляем

x = 2  \\ y = 1

или

x = 2 \times ( -  \frac{1}{5} ) \\ y =  -  \frac{1}{5}  \\  \\ x =  -  \frac{2}{5}  \\ y =  -  \frac{1}{5}

Ответ:

(2;1)

(-2/5;-1/5)

Вас заинтересует