• Предмет: Алгебра
  • Автор: yduduc
  • Вопрос задан 3 года назад

Найди координатную точку пресечение y=3x+7 и y= 2x-4

Ответы

Ответ дал: AiMus
0

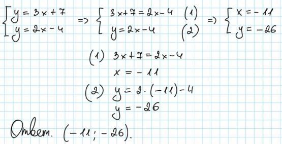
Ответ:

(-11, -26)

Объяснение:

Приложения:

Lovelesss: Тут неправильно решено уравнение 3х+7=2х-4, тут написано, что будет 11, но правильно будет -11, поэтому и дальше решение не правильное
AiMus: Верно) спасибо, что нашли косяк
AiMus: Исправил)
Ответ дал: Lovelesss
0

Ответ:

(-11;-26).

Объяснение:

Сначала ищем координату х, для этого сравниваем данные функции

3х+7=2х-4

3х-2х=-4-7

х=-11.

Мы нашли х, теперь, чтобы найти координату у подставляем х в одну из функций

у(-11)=3*(-11)+7=-26

Можем подставить и во вторую функцию, чтобы убедится, что всё правильно

у(-11)=2*(-11)-4=-26

То есть, наши координаты (-11;-26).

Вас заинтересует