Ответы
Ответ дал:
1
Ответ:
решение смотри на фотографии
Приложения:


NetherNick:
крутой крутой!!! спасибо!!! молодец!!!!!!!!!
Ответ дал:
3
Ответ:
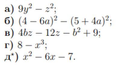
а). =(3y-z)(3y+z)
б). =(4-6a-(5+4a))(4-6a+(5+4a))=(4-6a-5-4a)(4-6a+5+4a)=(-1-10a)(9-2a)
в). =4z(b-3)-(b^2-9)=4z(b-3)-(b-3)(b+3)=(b-3)(4z-(b+3))=(b-3)(4z-b-3)
г). 2^3-х^3=(2-х)(2^2+2х+х^2)=(2-х)(4+2х+х^2)
д). =х^2+х-7х-7=х(х+1)-7(х+1)=(х+1)(х-7)
Вас заинтересует
2 года назад
2 года назад
2 года назад
8 лет назад
8 лет назад